狮头科技发展股份有限公司 关于使用部分闲置自有资金购买理财产品到期赎回的公告

本公司董事会及全体董事保证本公告内容不存在任何虚假记载、误导性陈述或者重大遗漏,并对其内容的真实性、准确性和完整性承担个别及连带责任人民币理财产品。
重要内容提示:
● 到期理财产品名称:浦发银行“利多多公司稳利23JG3041期人民币对公结构性存款”
● 到期理财产品金额:3000万元
● 履行的审议程序:公司第八届董事会第二十八次会议、第八届监事会第二十三次会议及2021年年度股东大会审议通过了《关于使用部分闲置自有资金进行现金管理的议案》,同意公司及控股子公司使用不超过人民币3.5亿元的闲置自有资金进行现金管理,投资品种为安全性高、流动性好、有保本约定的短期(不超过12个月)理财产品人民币理财产品。在上述额度范围内,资金可滚动使用。投资期限自2021年年度股东大会通过之日起一年内有效,并授权公司董事长行使投资决策并签署相关合同文件。
一、本次使用闲置自有资金购买银行理财产品到期赎回的情况
公司于2023年2月6日购买上海浦东发展银行股份有限公司(“浦发银行”)产品“利多多公司稳利23JG3041期人民币对公结构性存款”3000万元,产品购买的具体内容详见公司于2023年2月7日披露的《关于使用部分闲置自有资金购买理财产品到期赎回及购买理财产品的公告》(公告编号:临2023-004)人民币理财产品。具体到期情况如下:
公司购买的浦发银行“利多多公司稳利23JG3041期人民币对公结构性存款”已于2023年3月6日到期,收回本金3000万元,获得实际收益为7万元人民币理财产品。上述理财产品本金和收益已于2023年3月6日归还至公司自有资金账户。
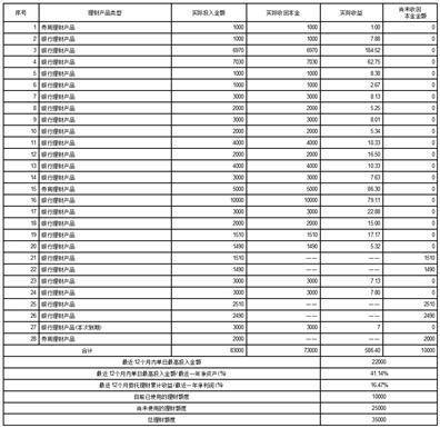
二、截至本公告日人民币理财产品,公司最近十二个月使用自有资金委托理财的情况
单位:万元
特此公告人民币理财产品。
狮头科技发展股份有限公司董事会
2023年3月7日
本版导读







评论