无锡阿科力科技股份有限公司关于使用闲置自有资金委托理财到期赎回并继续进行委托理财的公告




展开全文


本公司及董事会全体成员保证公告内容的真实、准确和完整,没有虚假记载、误导性陈述或者重大遗漏,并对其内容的真实性、准确性和完整性承担个别及连带法律责任委托理财合同。
重要内容提示:
●委托理财受托方:中国银行股份有限公司无锡东亭支行
●委托理财金额:人民币10,000.00万元;
●委托理财产品名称:中国银行挂钩型结构性存款(机构客户)
●委托理财期限:24天、25天、22天、23天
●履行的审议程序:无锡阿科力科技股份有限公司第四届董事会第五次会议、2022年第四次临时股东大会审议通过了《关于使用闲置自有资金进行委托理财的议案》,公司对最高额度不超过30,000万元的闲置自有资金进行委托理财,在确保不影响公司日常运营的情况下在股东大会审议通过之日起12个月内滚动使用,并授权公司总经理在上述额度内组织实施委托理财合同。具体内容详见公司于2022年10月29日在《上海证券报》、《中国证券报》、《证券时报》及上海证券交易所网站披露的《关于使用闲置自有资金进行委托理财的公告》(公告编号:2022-081)。
一、公司使用闲置自有资金进行委托理财到期赎回的情况
公司于2023年1月6日购买了中国银行股份有限公司东亭支行的“对公结构性存款202225870”、“对公结构性存款202225706”、“对公结构性存款202225871”、“对公结构性存款202225707”,具体内容详见公司于2023年1月10日在上海证券交易所网站()委托理财合同。
公司于2023年2月3日购买了中国银行股份有限公司东亭支行的“对公结构性存款202327545”、“对公结构性存款202327546”委托理财合同。
截至本公告日委托理财合同,公司已赎回上述投资产品,获得本金及收益合计人民币130,238,874.48元,具体情况如下:
二、本次委托理财概况
(一)委托理财目的
在保证日常经营运作资金需求、有效控制投资风险的情况下,提高公司闲置自有资金使用效率,增加公司现金资产收益,实现股东利益最大化委托理财合同。
(二)资金来源
公司闲置自有资金委托理财合同。
(三)委托理财产品的基本情况
(四)公司对委托理财相关风险的内部控制
1、公司本着严格控制风险的原则,对理财产品进行严格的评估、筛选,购买投资期限不超过12个月的安全性高、流动性好的低风险保本型理财产品委托理财合同。
2、公司财务部做好资金使用计划,充分预留资金,在保障公司业务正常开展的前提下,谨慎选择委托理财产品种类,做好投资组合,谨慎确定投资期限等措施最大限度控制投资风险委托理财合同。
3、公司独立董事、监事会有权对资金使用情况进行监督与检查,必要时可以聘请专业机构进行审计委托理财合同。
三、本次委托理财的具体情况
(一)委托理财合同主要条款
(二)风险控制分析
公司本着严格控制风险的原则,对理财产品进行严格的评估、筛选,公司所购买的理财产品均为投资期限不超过12个月的安全性高、流动性好的低风险保本型理财产品委托理财合同。公司已与受托方签订书面合同,明确委托理财的主要条款、双方的权利义务及法律责任等。在上述产品期限内,公司将与受托方保持密切联系,及时分析和跟踪产品的进展情况,加强风险控制和监督,确保理财资金到期收回。
四、委托理财受托方的情况
本次委托理财的受托方中国银行股份有限公司为已上市的股份制商业银行,受托方与本公司、公司控股股东及其一致行动人、公司实际控制人不存在关联关系委托理财合同。
五、对公司的影响
公司最近一年又一期的主要财务情况如下:
单位:元
截至2022年9月30日,公司货币资金为265,614,161.69元,本次认购银行理财产品的金额为10,000.00万元委托理财合同。占最近一期货币资金的比例为37.65%。在保证日常经营运作资金需求、有效控制投资风险的情况下,公司利用暂时闲置自有资金购买理财产品不会对公司未来主营业财务状况、经营成果和现金流量等造成影响,不存在负有大额负债的同时购买大额理财产品的情形。
六、风险提示
公司本次使用闲置自有资金进行委托理财所涉及的理财产品属于低风险型产品,但金融市场受宏观经济、财政及货币政策的影响较大,产品可能受到政策风险、市场风险、流动性风险、信用风险、提前终止风险、信息传递风险、利率及通货膨胀风险、产品不成立风险、其他风险等因素影响预期收益委托理财合同。
七、决策程序的履行及监事会、独立董事意见
无锡阿科力科技股份有限公司第四届董事会第五次会议、2022年第四次临时股东大会审议通过了《关于使用闲置自有资金进行委托理财的议案》,公司对最高额度不超过30,000万元的闲置自有资金进行委托理财,在确保不影响公司日常运营的情况下在股东大会审议通过之日起12个月内滚动使用,并授权公司总经理在上述额度内组织实施委托理财合同。具体内容详见公司于2022年10月29日在《上海证券报》、《中国证券报》、《证券时报》及上海证券交易所网站披露的《关于使用闲置自有资金进行委托理财的公告》(公告编号:2022-081)。
公司监事会认为:公司在确保不影响公司业务正常开展的前提下使用闲置自有资金进行委托理财,通过进行适度的低风险理财产品投资可以获得一定的资金收益,提高公司资金使用效率,一致同意使用闲置自有资金进行委托理财委托理财合同。
公司独立董事认为:委托理财的资金来源为公司闲置自有资金,在符合国家法律法规和保障投资安全的前提下,委托理财业务有利于提高资金使用效率,能够获得一定的投资收益,不影响公司日常资金正常周转需要及公司主营业务的正常开展委托理财合同。委托理财业务符合公司及全体股东的利益,不存在损害公司及全体股东,特别是中小股东利益的情形。因此,我们同意公司拟使用额度不超过30,000万元人民币的暂时闲置自有资金购买安全性高的保本型理财产品,该额度在公司股东大会审议通过之日起12个月内可以滚动使用。同意授权总经理组织实施相关事宜。
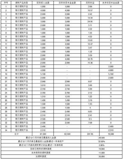
八、截至本公告日委托理财合同,公司最近十二个月使用自有资金委托理财的情况
单位:万元
特此公告委托理财合同。
无锡阿科力科技股份有限公司董事会
2023年3月9日
本版导读





评论